如图所示,一倒置U形管,上部为油,其密度ρ油=800kg/m3,用来测定水管中的A点流速uA,若读数Δh=200mm,则该点流速uA为:A. 0. 885...

作者: rantiku 人气: - 评论: 0
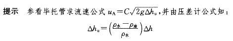
问题 如图所示,一倒置U形管,上部为油,其密度ρ油=800kg/m3,用来测定水管中的A点流速uA,若读数Δh=200mm,则该点流速uA为:
选项 A. 0. 885m/s B. 1. 980m/s C. 1. 770m/s D. 2. 000m/s {图}
答案 A
解析

猜你喜欢

发表评论
更多 网友评论0 条评论)
暂无评论

Copyright © 2012-2014 恰考网 Inc. 保留所有权利。 Powered by tikuer.com

页面耗时0.0405秒, 内存占用1.03 MB, Cache:redis,访问数据库19次