溢水堰模型试验,实际流量为Qn=537m3/s,若在模型上测得流量Qn= 30.0L/s。则该模型长度比尺为:A. 4. 5 B. 6 C. 10...

作者: rantiku 人气: - 评论: 0
问题 溢水堰模型试验,实际流量为Qn=537m3/s,若在模型上测得流量Qn= 30.0L/s。则该模型长度比尺为:
选项 A. 4. 5 B. 6 C. 10 D.20 {图}
答案 D
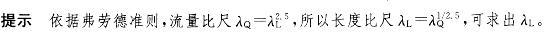
解析

猜你喜欢

发表评论
更多 网友评论0 条评论)
暂无评论

Copyright © 2012-2014 恰考网 Inc. 保留所有权利。 Powered by tikuer.com

页面耗时0.0507秒, 内存占用1.01 MB, Cache:redis,访问数据库20次