采用变速调节流量,当转速变为原转速一半时,调节后流量变为原流量的( )。A、1/2 B、1/4 C、1/8 D、不变化

作者: rantiku 人气: - 评论: 0
问题 采用变速调节流量,当转速变为原转速一半时,调节后流量变为原流量的( )。
选项 A、1/2 B、1/4 C、1/8 D、不变化
答案 A
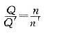
解析 采用变速调节流量,当转速变为原转速一半时,调节后流量改变:

猜你喜欢

发表评论
更多 网友评论0 条评论)
暂无评论

访问排行

Copyright © 2012-2014 恰考网 Inc. 保留所有权利。 Powered by tikuer.com

页面耗时0.0380秒, 内存占用1.03 MB, Cache:redis,访问数据库18次