细长压杆常用普通碳素钢制造,而不用高强度优质钢制造,这是因为:A. 普通碳素钢价格便宜 B. 普通碳素钢的强度极限高 C. 普通碳素钢价格便宜,而...

作者: rantiku 人气: - 评论: 0
问题 细长压杆常用普通碳素钢制造,而不用高强度优质钢制造,这是因为:
选项 A. 普通碳素钢价格便宜 B. 普通碳素钢的强度极限高 C. 普通碳素钢价格便宜,而弹性模量与高强度优质钢差不多 D. 高强度优质钢的比例极限低
答案 C
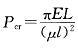
解析 提示 由欧拉公式可知,细长压杆的临界力与材料的比例极限和强度极限无关,而与材料的弹性模量有关。

猜你喜欢

发表评论
更多 网友评论0 条评论)
暂无评论

Copyright © 2012-2014 恰考网 Inc. 保留所有权利。 Powered by tikuer.com

页面耗时0.0510秒, 内存占用1.03 MB, Cache:redis,访问数据库19次