废物焚烧过程中,实际燃烧使用的空气量通常用理论空气量的倍数m表示,称为空气比或过剩空气系数。如果测定烟气中过剩氧含量为6%,试求此时焚烧系统的过剩空气系数...

作者: rantiku 人气: - 评论: 0
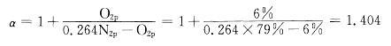
问题 废物焚烧过程中,实际燃烧使用的空气量通常用理论空气量的倍数m表示,称为空气比或过剩空气系数。如果测定烟气中过剩氧含量为6%,试求此时焚烧系统的过剩空气系数m(假设烟气中CO的含量为0,氮气的含量为79%)。
选项 A.1.00 B.0.79 C.1.40 D.1.60
答案 C
解析 提示 由于燃烧过程中不产生CO,则空气过剩系数计算式如下:

猜你喜欢

发表评论
更多 网友评论0 条评论)
暂无评论

访问排行

Copyright © 2012-2014 恰考网 Inc. 保留所有权利。 Powered by tikuer.com

页面耗时0.0376秒, 内存占用1.03 MB, Cache:redis,访问数据库19次