两相干平面简谐波振幅都是4cm,两波源相距30cm,相位差为π,在两波源连线的中垂线上任意一点P,两列波叠加后合振幅为(  )cm。A.0 B.8 ...

作者: rantiku 人气: - 评论: 0
问题 两相干平面简谐波振幅都是4cm,两波源相距30cm,相位差为π,在两波源连线的中垂线上任意一点P,两列波叠加后合振幅为(  )cm。
选项 A.0 B.8 C.16 D.30
答案 A
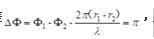
解析 在两波源连线的中垂线上任意一点的波程差:δ=r2-r1=0。当两波在该点的位相差 为π的奇数倍时,合振幅最小,

猜你喜欢

发表评论
更多 网友评论0 条评论)
暂无评论

Copyright © 2012-2014 恰考网 Inc. 保留所有权利。 Powered by tikuer.com

页面耗时0.0683秒, 内存占用1.03 MB, Cache:redis,访问数据库20次