过点A(1,1,1)与B(2,3,4)的直线方程为( )。

作者: rantiku 人气: - 评论: 0
问题 过点
选项 A(1,1,1)与B(2,3,4)的直线方程为( )。
答案 D
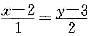
解析 为直线的方向向量,直线的对称式方程为=

猜你喜欢

发表评论
更多 网友评论0 条评论)
暂无评论

Copyright © 2012-2014 恰考网 Inc. 保留所有权利。 Powered by tikuer.com

页面耗时0.0451秒, 内存占用1.01 MB, Cache:redis,访问数据库20次