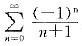
幂级数的收敛域为( )。A、(-1,1) B、[-1,1] C、[-1,1) D、(-1,1]

作者: rantiku 人气: - 评论: 0
问题 幂级数的收敛域为( )。
选项 A、(-1,1) B、[-1,1] C、[-1,1) D、(-1,1]
答案 C
解析 收敛半径,当x=1,级数发散,当x=-1,级数,由莱布尼兹定理知它收敛,因而收敛域为[-1,1)

猜你喜欢

发表评论
更多 网友评论0 条评论)
暂无评论

Copyright © 2012-2014 恰考网 Inc. 保留所有权利。 Powered by tikuer.com

页面耗时0.0619秒, 内存占用1.01 MB, Cache:redis,访问数据库20次