在单相桥式整流电路中,已知交流电压u=100sinωtV,若有一个二极管损坏(断开)输出电压的平均值Uo为( )A、31.82V B、45V C、...

作者: rantiku 人气: - 评论: 0
问题 在单相桥式整流电路中,已知交流电压u=100sinωtV,若有一个二极管损坏(断开)输出电压的平均值Uo为( )
选项 A、31.82V B、45V C、0 D、10V
答案 A
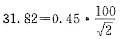
解析 半波整流输出为0.45U。

猜你喜欢

发表评论
更多 网友评论0 条评论)
暂无评论

Copyright © 2012-2014 恰考网 Inc. 保留所有权利。 Powered by tikuer.com

页面耗时0.0366秒, 内存占用1.03 MB, Cache:redis,访问数据库20次