水箱中的水经管道出流,如图18所示。已知管道直径为25mm,长度为6m,作用水头H=13m,沿程阻力系数λ=0.02。管壁切应力τ0为( )。A、312P...

作者: rantiku 人气: - 评论: 0
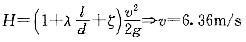
问题 水箱中的水经管道出流,如图18所示。已知管道直径为25mm,长度为6m,作用水头H=13m,沿程阻力系数λ=0.02。管壁切应力τ0为( )。
选项 A、312Pa B、95Pa C、101Pa D、461Pa
答案 C
解析 由伯努利方程得

猜你喜欢

发表评论
更多 网友评论0 条评论)
暂无评论

Copyright © 2012-2014 恰考网 Inc. 保留所有权利。 Powered by tikuer.com

页面耗时0.0350秒, 内存占用1.03 MB, Cache:redis,访问数据库20次