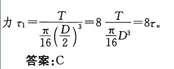
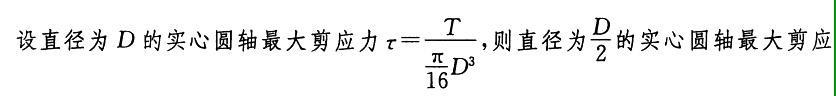
直径为D的实心圆轴,两端受扭转力矩作用,轴内最大剪应力为τ。若轴的直径D/2,则轴内的最大剪应力应为:改为A. 2τ B. 4τ C. 8τ ...

作者: rantiku 人气: - 评论: 0
问题 直径为D的实心圆轴,两端受扭转力矩作用,轴内最大剪应力为τ。若轴的直径D/2,则轴内的最大剪应力应为:改为
选项 A. 2τ B. 4τ C. 8τ D. 16τ
答案 C
解析

猜你喜欢

发表评论
更多 网友评论0 条评论)
暂无评论

Copyright © 2012-2014 恰考网 Inc. 保留所有权利。 Powered by tikuer.com

页面耗时0.0425秒, 内存占用1.03 MB, Cache:redis,访问数据库19次