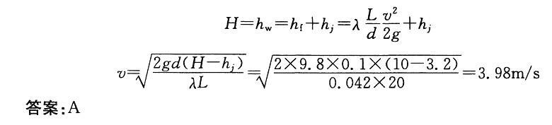
两水箱水位恒定,水面高差H=10m,管道直径d=10cm,总长度l=20m,沿程阻力系数λ = 0. 042,已知所有的转弯、阀门、进、出口局部水头损失合...

作者: rantiku 人气: - 评论: 0
问题 两水箱水位恒定,水面高差H=10m,管道直径d=10cm,总长度l=20m,沿程阻力系数λ = 0. 042,已知所有的转弯、阀门、进、出口局部水头损失合计为hi= 3. 2m,如图所示。则通 过管道的平均流速为:
选项 A. 3. 98m/s B. 4. 83m/s C. 2. 73m/s D. 15. 8m/s
答案 A
解析 对水箱自由液面与管道出口水池自由液面写能量方程:

猜你喜欢

发表评论
更多 网友评论0 条评论)
暂无评论

Copyright © 2012-2014 恰考网 Inc. 保留所有权利。 Powered by tikuer.com

页面耗时0.0276秒, 内存占用1.03 MB, Cache:redis,访问数据库19次