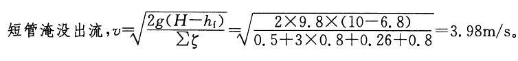
图示两水箱水位恒定,水面高差H=10m,已知管道沿程水头损失hf = 6. 8m,局部阻 力系数:转弯0.8、阀门0.26、进口0.5、出口0.8,则通过...

作者: rantiku 人气: - 评论: 0
问题 图示两水箱水位恒定,水面高差H=10m,已知管道沿程水头损失hf = 6. 8m,局部阻 力系数:转弯0.8、阀门0.26、进口0.5、出口0.8,则通过管道的平均流速为:
选项 A. 3. 98m/s B. 5.16m/s C. 5.80m/s D.7.04m/s
答案 A
解析

猜你喜欢

发表评论
更多 网友评论0 条评论)
暂无评论

Copyright © 2012-2014 恰考网 Inc. 保留所有权利。 Powered by tikuer.com

页面耗时0.0325秒, 内存占用1.03 MB, Cache:redis,访问数据库18次