A.1 或2 B.—1 或2 C.—1 或一2 D.1 或一2

作者: rantiku 人气: - 评论: 0
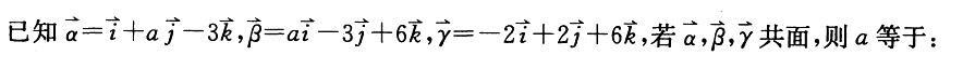
问题
选项 A.1 或2 B.—1 或2 C.—1 或一2 D.1 或一2
答案 C
解析

猜你喜欢

发表评论
更多 网友评论0 条评论)
暂无评论

Copyright © 2012-2014 恰考网 Inc. 保留所有权利。 Powered by tikuer.com

页面耗时0.0518秒, 内存占用1.01 MB, Cache:redis,访问数据库18次