已知图示两梁的抗弯截面刚度EI相同,若两者自由端的挠度相等,则P1/P2为:A.2 B.4 C.8 D.16 {图}

作者: rantiku 人气: - 评论: 0
问题 已知图示两梁的抗弯截面刚度EI相同,若两者自由端的挠度相等,则P1/P2为:
选项 A.2 B.4 C.8 D.16 {图}
答案 C
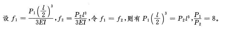
解析

猜你喜欢

发表评论
更多 网友评论0 条评论)
暂无评论

Copyright © 2012-2014 恰考网 Inc. 保留所有权利。 Powered by tikuer.com

页面耗时0.0443秒, 内存占用1.01 MB, Cache:redis,访问数据库19次