放大电路如图所示,其静态值IB、IC和UCE分别为 __ μA, ___ A, __ V。(  ) A.40,0.04,12 B.40,...

作者: rantiku 人气: - 评论: 0
问题 放大电路如图所示,其静态值IB、IC和UCE分别为 __ μA, ___ A, __ V。(  )
选项 A.40,0.04,12 B.40,4*10-3,6 C.400,0.04,0 D.0,0,12
答案 B
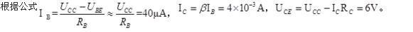
解析

猜你喜欢

发表评论
更多 网友评论0 条评论)
暂无评论

Copyright © 2012-2014 恰考网 Inc. 保留所有权利。 Powered by tikuer.com

页面耗时0.0353秒, 内存占用1.03 MB, Cache:redis,访问数据库18次