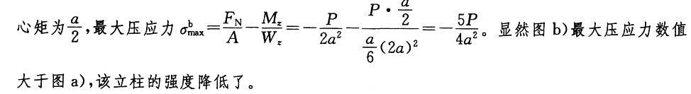
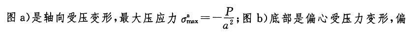
一正方形截面短粗立柱(见图a),若将其低面加宽一倍(见图b),原厚度不变,则该立柱的强度: A.提高一倍 B.提高不到一倍 C.不变 D.降低

作者: rantiku 人气: - 评论: 0
问题 一正方形截面短粗立柱(见图a),若将其低面加宽一倍(见图b),原厚度不变,则该立柱的强度:
选项 A.提高一倍 B.提高不到一倍 C.不变 D.降低
答案 D
解析

猜你喜欢

发表评论
更多 网友评论0 条评论)
暂无评论

Copyright © 2012-2014 恰考网 Inc. 保留所有权利。 Powered by tikuer.com

页面耗时0.0309秒, 内存占用1.03 MB, Cache:redis,访问数据库17次