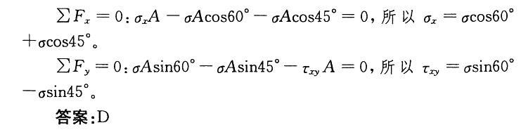
图示为三角形单元体,已知ab、ca两斜面上的正应力为σ,剪应力为零。在竖正面bc上有:

作者: rantiku 人气: - 评论: 0
问题 图示为三角形单元体,已知ab、ca两斜面上的正应力为σ,剪应力为零。在竖正面bc上有:
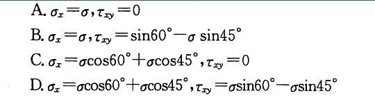
选项
答案 D
解析 设ab、bc、ac三个面的面积相等,都等于A,且水平方向为x轴,竖直方向为y轴。

猜你喜欢

发表评论
更多 网友评论0 条评论)
暂无评论

Copyright © 2012-2014 恰考网 Inc. 保留所有权利。 Powered by tikuer.com

页面耗时0.0444秒, 内存占用1.03 MB, Cache:redis,访问数据库18次