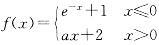
设函数,若f(x)在x=0处可导,则a的值是:A. 1 B. 2 C. 0 D. -1

作者: rantiku 人气: - 评论: 0
问题 设函数,若f(x)在x=0处可导,则a的值是:
选项 A. 1 B. 2 C. 0 D. -1
答案 D
解析

猜你喜欢

发表评论
更多 网友评论0 条评论)
暂无评论

Copyright © 2012-2014 恰考网 Inc. 保留所有权利。 Powered by tikuer.com

页面耗时0.0681秒, 内存占用1.01 MB, Cache:redis,访问数据库20次