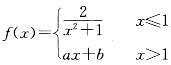
设函数可导,则必有:A. a=1

作者: rantiku 人气: - 评论: 0
问题 设函数可导,则必有:
选项 A. a=1
答案 B
解析

猜你喜欢

发表评论
更多 网友评论0 条评论)
暂无评论

Copyright © 2012-2014 恰考网 Inc. 保留所有权利。 Powered by tikuer.com

页面耗时0.0371秒, 内存占用1.01 MB, Cache:redis,访问数据库20次