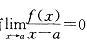
若有,则当x→a 时,f(x)是:A.有极限的函数 B.有界函数 C.无穷小量 D.比(x-a)高阶的无穷小

作者: rantiku 人气: - 评论: 0
问题 若有,则当x→a 时,f(x)是:
选项 A.有极限的函数 B.有界函数 C.无穷小量 D.比(x-a)高阶的无穷小
答案 D
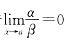
解析 提示 由极限运算法则,答案A、B、C均不成立,利用两个无穷小比较知识,当x→a时,a→0,β→0。若,称在x→a时,a是β的高阶无穷小,所以答案D成立。f(x)是比(x-a)高阶的无穷小。

猜你喜欢

发表评论
更多 网友评论0 条评论)
暂无评论

Copyright © 2012-2014 恰考网 Inc. 保留所有权利。 Powered by tikuer.com

页面耗时0.0526秒, 内存占用1.03 MB, Cache:redis,访问数据库20次