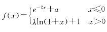
设函数,要使f(x)在x=0处连续,则a的值是:A.0 B. 1 C.-1 D.λ

作者: rantiku 人气: - 评论: 0
问题 设函数,要使f(x)在x=0处连续,则a的值是:
选项 A.0 B. 1 C.-1 D.λ
答案 A
解析 所以a=0。

猜你喜欢

发表评论
更多 网友评论0 条评论)
暂无评论

Copyright © 2012-2014 恰考网 Inc. 保留所有权利。 Powered by tikuer.com

页面耗时0.0343秒, 内存占用1.01 MB, Cache:redis,访问数据库19次