受力体一点处的应力状态如图所示,该点的最大主应力σ1为: A.70MPa B.10MPa C.40MPa D.50MPa

作者: rantiku 人气: - 评论: 0
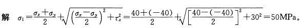
问题 受力体一点处的应力状态如图所示,该点的最大主应力σ1为:
选项 A.70MPa B.10MPa C.40MPa D.50MPa
答案 D
解析

猜你喜欢

发表评论
更多 网友评论0 条评论)
暂无评论

Copyright © 2012-2014 恰考网 Inc. 保留所有权利。 Powered by tikuer.com

页面耗时0.0385秒, 内存占用1.01 MB, Cache:redis,访问数据库20次