某企业向银行借款,按季度计息,年名义利率为8%,则年实际利率为:A.8% B.8.16% C.8. 24% D.8.3%

作者: rantiku 人气: - 评论: 0
问题 某企业向银行借款,按季度计息,年名义利率为8%,则年实际利率为:
选项 A.8% B.8.16% C.8. 24% D.8.3%
答案 C
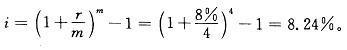
解析 提示 利用由年名义利率求年实际利率的公式计算:

猜你喜欢

发表评论
更多 网友评论0 条评论)
暂无评论

Copyright © 2012-2014 恰考网 Inc. 保留所有权利。 Powered by tikuer.com

页面耗时0.0321秒, 内存占用1.03 MB, Cache:redis,访问数据库19次