当x→0时,x2+sinx是x的:A.高阶无穷小 B.同阶无穷小,但不是等价无穷小 C.低阶无穷小 D.等价无穷小

作者: rantiku 人气: - 评论: 0
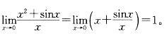
问题 当x→0时,x2+sinx是x的:
选项 A.高阶无穷小 B.同阶无穷小,但不是等价无穷小 C.低阶无穷小 D.等价无穷小
答案 D
解析 提示 通过求极限的结果来确定,

猜你喜欢

发表评论
更多 网友评论0 条评论)
暂无评论

Copyright © 2012-2014 恰考网 Inc. 保留所有权利。 Powered by tikuer.com

页面耗时0.0301秒, 内存占用1.03 MB, Cache:redis,访问数据库18次