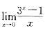
当x→0时,3x-1是x的:A.高阶无穷小 B.低阶无穷小 C.等价无穷小 D.同阶但非等价无穷小

作者: rantiku 人气: - 评论: 0
问题 当x→0时,3x-1是x的:
选项 A.高阶无穷小 B.低阶无穷小 C.等价无穷小 D.同阶但非等价无穷小
答案 D
解析 提示:可通过求的极限判断。

猜你喜欢

发表评论
更多 网友评论0 条评论)
暂无评论

Copyright © 2012-2014 恰考网 Inc. 保留所有权利。 Powered by tikuer.com

页面耗时0.0654秒, 内存占用1.03 MB, Cache:redis,访问数据库18次