A.仅步骤1和步骤2错 B.仅步骤2错 C. 步骤1、步骤2和步骤4错 D. 仅步骤4错

作者: rantiku 人气: - 评论: 0
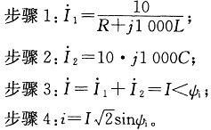
问题
选项 A.仅步骤1和步骤2错 B.仅步骤2错 C. 步骤1、步骤2和步骤4错 D. 仅步骤4错
答案 C
解析

猜你喜欢

发表评论
更多 网友评论0 条评论)
暂无评论

Copyright © 2012-2014 恰考网 Inc. 保留所有权利。 Powered by tikuer.com

页面耗时0.0663秒, 内存占用1.01 MB, Cache:redis,访问数据库19次