某声音的声压为 0.02 Pa ,其声压级为( ) dBA. 20 B. 40 C. 60 D. 80

作者: rantiku 人气: - 评论: 0
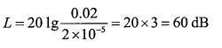
问题 某声音的声压为 0.02 Pa ,其声压级为( ) dB
选项 A. 20 B. 40 C. 60 D. 80
答案 C
解析

猜你喜欢

发表评论
更多 网友评论0 条评论)
暂无评论

访问排行

Copyright © 2012-2014 恰考网 Inc. 保留所有权利。 Powered by tikuer.com

页面耗时0.0335秒, 内存占用1.03 MB, Cache:redis,访问数据库20次