某声源所在室内声场近似为扩散声场,计算该声源在靠近围护结构处的倍频带声压级时,需要的参数有()。A声源的倍频带声功率级B声源在房间内的位置C房间常...

作者: rantiku 人气: - 评论: 0
问题 某声源所在室内声场近似为扩散声场,计算该声源在靠近围护结构处的倍频带声压级时,需要的参数有()。
选项 A声源的倍频带声功率级 B声源在房间内的位置 C房间常数 D房间的体积
答案 AC
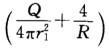
解析 根据某声源在靠近围护结构处的倍频带声压级计算公式L1=Lw1+10lg,式中:Lw1为某个室内声源在靠近围护结构处产生的倍频带声功率级;r1为某个室内声源与靠近围护结构处的距离:Q为指向性因数;L1为靠近围护结构处的倍频带声压级;R为房间常数。

猜你喜欢

发表评论
更多 网友评论0 条评论)
暂无评论

访问排行

Copyright © 2012-2014 恰考网 Inc. 保留所有权利。 Powered by tikuer.com

页面耗时0.0399秒, 内存占用1.03 MB, Cache:redis,访问数据库17次