某化工制造工程 【素材】 某化工项目工艺过程如下:在反应釜内加入一定量的甲苯溶剂及原料A,搅拌并缓慢加热使原料完全溶解,然后加入反应物B。充分搅拌后加...

作者: tihaiku 人气: - 评论: 0
问题

某化工制造工程

【素材】

某化工项目工艺过程如下:在反应釜内加入一定量的甲苯溶剂及原料A,搅拌并缓慢加热使原料完全溶解,然后加入反应物B。充分搅拌后加热回流1.5 h,分出反应水分,反应完毕后,物料转入浓缩釜,减压蒸去甲苯,回收后套用。浓缩物用二氯甲烷溶解,过滤除杂,滤液转入密闭反应釜,加入过量(理论量的1.5倍)的液态反应物D。控制温度在10~20 ℃反应1h,减压蒸去二氯甲烷及过量反应物,得到粗品,用丙酮进行重结晶,活性炭脱色。结晶后离心甩滤,滤料在干燥箱内干燥后得到产品E。丙酮母液循环套用。蒸出的二氯甲烷及过量反应物D的混合物精馏回收。

【问题】

1.(1)根据工艺描述,绘制工艺一污染流程框图,并标出各部分排放的污染物。(2)如果第一步的反应方程式为:A+B=C+H2O(分二子量MA=120.5,MB=90.2)根据下面的物料平衡图,计算过滤滤渣的量为_____kg,甲苯废气量为_____kg。(假设该反应的反应率为90%,中间产物完全溶解在二氯甲烷中,而浓缩物中其他成分均不溶于二氯甲烷。滤渣附着的溶剂量忽略)

(3)选出最符合题意的答案(单选):该步工序中,甲苯溶剂的回收率为 (a.98%;b.95%;c.99%),甲苯的流失途径为_______(a.以废气形式挥发;b.随分出水带走;c.随浓缩物进入下步工序;d.以上途径均存在)。

2.该工艺中,甲苯废气主要的排放部位有哪些?

选项

1.答:(1)项目的工艺一污染流程框图如下:

(2)如果第一步的反应方程式为:A + B = C +H2O (分子量MA=120.5,MB=90.2)据下面的物料平衡图,计算过滤滤渣的量为35 kg,甲苯废气量为5kg 。(3)选出最符合题意的答案:第一步工序中,甲苯溶剂的回收率为 a (a. 98%;b.95%;c.99%),甲苯的流失途径为 b 。(a.以废气形式挥发;b.随分出的水带走;c.随浓缩物进入下步工序;d.以上途径均存在)

2.答:该工艺中,甲苯废气主要的排放部位有反应1过程回流冷凝器顶部开口的排放、减压浓缩过程中随真空泵尾气排放。均为无组织排放源。可以在排放口加集气罩引风收集后和其他有机废气一起集中处置。

答案
解析

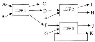
1.《环境影响评价案例分析》考试大纲中“二、项目分析(1)分析建设项目生产工艺过程的产污环节、主要污染物、资源和能源消耗等,给出污染源强,非污染生态影响为主的项目还应根据工程特点分析施工期和运营期生态影响的因素和途径”。(1)根据工艺描述,绘制工艺一污染流程框图,并标出各部分排放的污染物。需要指出的是,即使题目中不强调“标出各部分的污染物排放”,工艺污染流程图中也一定要给出污染物排放点及名称编号。因为工艺过程分析是工程分析的重点,而工艺污染流程图又是工艺过程分析的重要内容,因此在案例分析考试中,污染型项目工程分析的考查非常有可能涉及工艺污染流程图,形式可能是绘制或补充。本案例给出的工艺过程虽然在实际化工类项目中是比较简单的工艺过程,但考试时由于时间的限制,出现的素材还要简单得多。之所以在此举这样的例子,是为了较全面地分析绘制工艺一污染流程框图的基本要点。这些要点可归结为:工序和物料流向的逻辑关系清楚、物料出入项目全面、污染物排放节点和性质清楚。工艺一污染流程框图的绘制,《导则》中没有严格的规范,所以本题给出的参考答案不是唯一和标准的,但涵盖了基本的要素,即物料出入、工序和逻辑关系。一般有横向绘制的和竖向绘制的,为了便于表达,推荐横向绘制的流程图。原料在左、中间产物在右、污染排放在上下标注。竖向绘制的可以按原料在上、中间产物在下、污染排放在右的原则布置。总之能较清楚表达工艺过程和污染物排放即可。考虑到环评人员的专业问题,考试一般素材都会讲明所需要的工艺过程。但笔者认为,对一般的化工过程诸如精馏、减压蒸馏、重结晶、萃取等过程,应该了解其基本原理和操作过程。比如重结晶,素材可能一句话带过,但一定要考虑到活性炭脱色过滤产生的滤渣问题,绘制流程图时根据清楚标明污染物排放的需要可进行工序的分解。对于污染物的标注,一般一个排放部位可标注为一个排放源,占用一个编号,也有些同类废气源特别指明集中(治理)排放,需要注意。总之,只要能正确反映工艺流程,清楚、完全地说明污染物排放,就能满足题目的考查要求。(2)、(3)选出最符合题意的答案(单选)。本题主要考查工艺过程分析与物料平衡法的运用。物料平衡法是化工石化医药类项目工程分析经常运用的基本污染源强分析方法之一。物料平衡法计算污染物排放量是最基本、最常用的化工石化医药类项目估算污染物排放量的方法。进行物料平衡分析计算应注意:①正确确定分析的边界或者计算的出入节点;②理清物料转化、流失等的逻辑关系;③投入、产出的物料项目一定要列完全。题目中给定的条件是最简单的物料平衡分析。投入三种物料即A、B和溶剂甲苯,经过反应和浓缩后,能看到的产出物有浓缩物料、回收的甲苯和反应分出的废水,剩余的产出物应该是在反应过程中从回流冷凝器顶端排口和减压蒸馏真空尾气排放的甲苯,也就是流程图中标出的G1和G2。如果已知投入物料量和产出的分出水量、浓缩物量和甲苯回收量,就能通过物料平衡计算出甲苯废气的排放量。过滤滤渣量计算也是同样的道理。这是最简单的平衡计算,考试可能会有稍复杂的计算,比如产出中出现两个未知数,可以通过反应方程式以及给定的产率计算出产物或中间产物的量,再得到某类污染物的排放量。但都是应用一个基本原则来解决,即进入某单元的所有物料和产出单元的所有物料总和相等,工序内循环的不计入。比如下图的平衡关系中,可以得出A+B=C+D+F,D+E=I+H,F+G=J 。对于工序3内循环的K项目,不必列入。

对于某物料的回收率,比如化工医药项目中常需要计算和利用的溶剂回收率,其计算公式为:回收率=实际回收量÷初始投入量*100%。切不可只考虑废气一种流失方式,即认为只流失了5 kg(只占投入量的1%),因此回收率就是99%。紧接着的问题也是紧密关联的,甲苯溶剂在反应和浓缩的过程中会通过分出的反应水W1带走、浓缩物料带走以及废气散发三种途径流失。

2.《环境影响评价案例分析》考试大纲中“四、环境影响识别、预测与评价(7)选择、运用预测模式与评价方法;(8)预测和评价环境影响(含非正常工况)”。本项目的考查点为无组织排放废气卫生防护距离的核算。甲苯在第一步反应及后续的浓缩中只有两个排放部位。如果清楚上述两个化工过程的基本原理、操作和设备就能很容易找到排放部位。

相关内容:化工,制造,工程,素材,项目,工艺,过程,如下,反应釜,一定量,甲苯,溶剂,原料,加热,反应物

猜你喜欢

发表评论
更多 网友评论0 条评论)
暂无评论

访问排行

Copyright © 2012-2014 恰考网 Inc. 保留所有权利。 Powered by tikuer.com

页面耗时0.0367秒, 内存占用1.06 MB, Cache:redis,访问数据库18次