有限长线声源的长度为l0,已知在线声源垂直平分线上距声源r0处的声级为l0(r0),按r0、r和l0之间的不同关系,计算垂直平分线上距声源r处的声级的公式...

作者: tihaiku 人气: - 评论: 0
问题 有限长线声源的长度为l0,已知在线声源垂直平分线上距声源r0处的声级为l0(r0),按r0、r和l0之间的不同关系,计算垂直平分线上距声源r处的声级的公式可近似为()。
选项 A:
B: C:
D:
答案 ABC
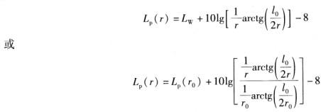
解析 设线声源长为l0,单位长度线声源辐射的声功率级为Lw。在线声源垂直平分线上距声源r处的声级为:

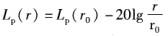
当r>l0且r0>l0时,上式近似简化为:Lp(r)=Lp(r0)-20lg(r-r0)。即在有限长线声源的远场,有限长线声源可当做点生源处理。
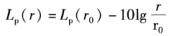
当r<l0/3且r0<l0/3时,上式可近似简化为:Lp(r)=Lp(r0-10lg(r-r0)。即在近场区,有限长线声源可当做无限长线声源处理。
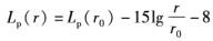
当l0/3<r<l0,且l0/3<r0<l0时,可以作近似计算:Lp(r)=Lp(r0-15lg(r-r0)。

相关内容:长线,声源,长度,在线,声级,关系,公式

猜你喜欢

发表评论
更多 网友评论0 条评论)
暂无评论

访问排行

Copyright © 2012-2014 恰考网 Inc. 保留所有权利。 Powered by tikuer.com

页面耗时0.0493秒, 内存占用1.04 MB, Cache:redis,访问数据库17次