三角形的内角和为180°,问六边形的内角和是多少度?( )A.720 B.600 C.480 D.260

作者: rantiku 人气: - 评论: 0
问题 三角形的内角和为180°,问六边形的内角和是多少度?( ) A.720 B.600 C.480 D.260
选项
答案 A
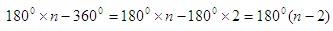
解析 。六边形的内角和就是6个三角形的内角和360°;因为,一个六边形以它的内部任意作一点,连接到各角,可组成6个三角形每一个三角形都有一个角在这一点上,也正好围成一个圆,所以要减去360°;所以有公式:多边形的内角和,其中: 表示多边形的数。

猜你喜欢

发表评论
更多 网友评论0 条评论)
暂无评论
错误啦!

错误信息

  • 消息: [程序异常] : MISCONF Redis is configured to save RDB snapshots, but it's currently unable to persist to disk. Commands that may modify the data set are disabled, because this instance is configured to report errors during writes if RDB snapshotting fails (stop-writes-on-bgsave-error option). Please check the Redis logs for details about the RDB error.
  • 文件: /twcms/kongphp/cache/cache_redis.class.php
  • 位置: 第 85 行
    <?php echo 'KongPHP, Road to Jane.'; ?>