A.0.182 B.0.1817 C.0.1816 D.0.183

作者: rantiku 人气: - 评论: 0
问题 A.0.182 B.0.1817 C.0.1816 D.0.183
选项
答案 B
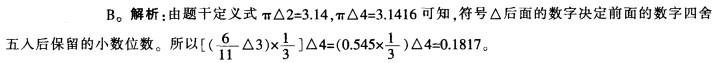
解析

猜你喜欢

发表评论
更多 网友评论0 条评论)
暂无评论

访问排行

Copyright © 2012-2014 恰考网 Inc. 保留所有权利。 Powered by tikuer.com

页面耗时0.0516秒, 内存占用1.02 MB, Cache:redis,访问数据库19次