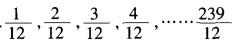
这239个数中所有不是整数的分数的和是多少?A.2230 B.2140 C.2350 D.2200

作者: rantiku 人气: - 评论: 0
问题 这239个数中所有不是整数的分数的和是多少? A.2230 B.2140 C.2350 D.2200
选项
答案 D
解析

猜你喜欢

发表评论
更多 网友评论0 条评论)
暂无评论

访问排行

Copyright © 2012-2014 恰考网 Inc. 保留所有权利。 Powered by tikuer.com

页面耗时0.0383秒, 内存占用1.03 MB, Cache:redis,访问数据库14次