某机器设备原始成本为100 000元,报废时残余价值估计为6 000元,该设备运转费用每年比前一年增加650元。 问题:试用低劣化数值法,求此设备...

作者: rantiku 人气: - 评论: 0
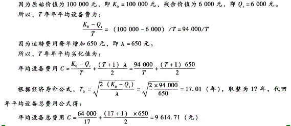
问题 某机器设备原始成本为100 000元,报废时残余价值估计为6 000元,该设备运转费用每年比前一年增加650元。 问题: 试用低劣化数值法,求此设备的经济寿命和设备在最佳使用年限中的年均设备总费用。
选项
答案
解析

猜你喜欢

发表评论
更多 网友评论0 条评论)
暂无评论
错误啦!

错误信息

  • 消息: [程序异常] : MISCONF Redis is configured to save RDB snapshots, but it's currently unable to persist to disk. Commands that may modify the data set are disabled, because this instance is configured to report errors during writes if RDB snapshotting fails (stop-writes-on-bgsave-error option). Please check the Redis logs for details about the RDB error.
  • 文件: /twcms/kongphp/cache/cache_redis.class.php
  • 位置: 第 85 行
    <?php echo 'KongPHP, Road to Jane.'; ?>