已知某液压系统如图。试说明各个元件的名称。已知:泵的排量为32mL/r,转速 为960r/min,容积效率为0.95,机械效率为0.92;其他元件和管路的...

作者: rantiku 人气: - 评论: 0
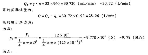
问题 已知某液压系统如图。试说明各个元件的名称。已知:泵的排量为32mL/r,转速 为960r/min,容积效率为0.95,机械效率为0.92;其他元件和管路的效率损失忽略不计。 向右行程的推力要求是120 000N,而反向行程推力为100 000N,液压缸内径为Z> = 125mm, 活塞杆直径为65mm。 (1)计算往返行程的速度为多少? (2)该液压泵的实际输人功率至少为多少?
选项
答案
解析 由下而上为油箱、定量液压泵、单向阀、三位四通换向滑阀、单杆活塞液压缸。左面由下而上为溢流阀和蓄能器。 (1)泵的理论流量为:

猜你喜欢

发表评论
更多 网友评论0 条评论)
暂无评论

访问排行

Copyright © 2012-2014 恰考网 Inc. 保留所有权利。 Powered by tikuer.com

页面耗时0.0492秒, 内存占用1.03 MB, Cache:redis,访问数据库15次