某设备原始价值为98 000元,无论使用多少年残值均为零,低劣化值为1 000元,其最佳使用年限为( )年。A. 10 B. 14 C. 18 D. 20

作者: rantiku 人气: - 评论: 0
问题 某设备原始价值为98 000元,无论使用多少年残值均为零,低劣化值为1 000元,其最佳使用年限为( )年。 A. 10 B. 14 C. 18 D. 20
选项
答案 B
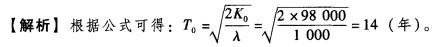
解析

猜你喜欢

发表评论
更多 网友评论0 条评论)
暂无评论

访问排行

Copyright © 2012-2014 恰考网 Inc. 保留所有权利。 Powered by tikuer.com

页面耗时0.0403秒, 内存占用1.03 MB, Cache:redis,访问数据库19次