某一设备预计大修费用为11 500元,每年维持费为4 500元,大修后由于第Ⅱ种无形磨损,该设备能用5年,且残值为0,若折现率i = 10%,则该设备的年...

作者: rantiku 人气: - 评论: 0
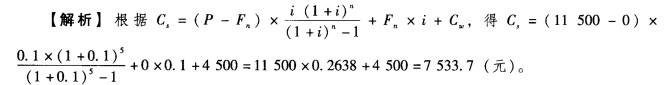
问题 某一设备预计大修费用为11 500元,每年维持费为4 500元,大修后由于第Ⅱ种无形磨损,该设备能用5年,且残值为0,若折现率i = 10%,则该设备的年度费用为( )元。 A. 3 033.7 B. 4 220. 8 C. 6 383.7 D. 7 533.7
选项
答案 D
解析

猜你喜欢

发表评论
更多 网友评论0 条评论)
暂无评论
错误啦!

错误信息

  • 消息: [程序异常] : MISCONF Redis is configured to save RDB snapshots, but it's currently unable to persist to disk. Commands that may modify the data set are disabled, because this instance is configured to report errors during writes if RDB snapshotting fails (stop-writes-on-bgsave-error option). Please check the Redis logs for details about the RDB error.
  • 文件: /twcms/kongphp/cache/cache_redis.class.php
  • 位置: 第 85 行
    <?php echo 'KongPHP, Road to Jane.'; ?>