其他情况不变时,当基金分散程度提高时,基金的特雷诺指数通常将()。A:变大B:不变C:无法判断D:变小

作者: rantiku 人气: - 评论: 0
问题 其他情况不变时,当基金分散程度提高时,基金的特雷诺指数通常将()。
选项 A:变大 B:不变 C:无法判断 D:变小
答案 C
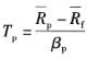
解析 特雷诺比率(Tp)来源于CAPM理论,表示的是单位系统风险下的超额收益率。用公式表示为:

特雷诺指数的问题是无法衡量基金的风险分散程度。β值并不会因为组合中所包含的证券数量的增加而降低,因此当基金分散程度提高时,特雷诺指数可能并不会变大。

猜你喜欢

发表评论
更多 网友评论0 条评论)
暂无评论

访问排行

Copyright © 2012-2014 恰考网 Inc. 保留所有权利。 Powered by tikuer.com

页面耗时0.0280秒, 内存占用1.03 MB, Cache:redis,访问数据库16次