某基金詹森α为2%,表示其表现()。A:不如市场的平均水平B:优于市场的平均水平C:等于市场的平均水平D:不确定

作者: rantiku 人气: - 评论: 0
问题 某基金詹森α为2%,表示其表现()。
选项 A:不如市场的平均水平 B:优于市场的平均水平 C:等于市场的平均水平 D:不确定
答案 B
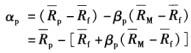
解析 詹森α衡量的是基金组合收益中超过CAPM模型预测值的那一部分超额收益。用公式表示为:

若ap=0,则说明基金组合的收益率与处于相同风险水平的被动组合的收益率不存在显著差异;当ap>0时,说明基金表现要优于市场指数表现;当ap<0时,说明基金表现要弱于市场指数的表现。

猜你喜欢

发表评论
更多 网友评论0 条评论)
暂无评论

访问排行

Copyright © 2012-2014 恰考网 Inc. 保留所有权利。 Powered by tikuer.com

页面耗时0.0374秒, 内存占用1.03 MB, Cache:redis,访问数据库13次