某分项工程合同单价为6万元,采用价格指数进行价格调整。可调值部分占合同总价的70%,可调值部分由A、B、C三项成本要素构成,分别占可调值部分的20%、40...

作者: rantiku 人气: - 评论: 0
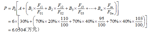
问题 某分项工程合同单价为6万元,采用价格指数进行价格调整。可调值部分占合同总价的70%,可调值部分由A、B、C三项成本要素构成,分别占可调值部分的20%、40%、40%,基准日期价格指数均为100,结算依据的价格指数分别为110、95、103,则结算的价款为( )万元。
选项 A、4.83 B、6.05 C、6.63 D、6.90
答案 B
解析

猜你喜欢

发表评论
更多 网友评论0 条评论)
暂无评论

访问排行

Copyright © 2012-2014 恰考网 Inc. 保留所有权利。 Powered by tikuer.com

页面耗时0.0515秒, 内存占用1.03 MB, Cache:redis,访问数据库16次