某建设项目从银行贷款2000万元,年利率为8%,每季度复利一次,则该贷款的年实际利率为( )。A、7.76% B、8.00% C、8.24% ...

作者: rantiku 人气: - 评论: 0
问题 某建设项目从银行贷款2000万元,年利率为8%,每季度复利一次,则该贷款的年实际利率为( )。
选项 A、7.76% B、8.00% C、8.24% D、8.56%
答案 C
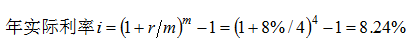
解析

猜你喜欢

发表评论
更多 网友评论0 条评论)
暂无评论

访问排行

Copyright © 2012-2014 恰考网 Inc. 保留所有权利。 Powered by tikuer.com

页面耗时0.0392秒, 内存占用1.03 MB, Cache:redis,访问数据库20次