A企业目前付息债务的市场价值为20万元,股权的市场价值为30万元,税前债务成本是8%,股权资本成本为6%,所得税率25%,那么该企业的加权平均资本成本为(...

作者: tihaiku 人气: - 评论: 0
问题 A企业目前付息债务的市场价值为20万元,股权的市场价值为30万元,税前债务成本是8%,股权资本成本为6%,所得税率25%,那么该企业的加权平均资本成本为( )。
选项 A.6% B.7.6% C.8.8% D.9.2%
答案 A
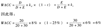
解析 考点:考查加权平均资本成本的计算。加权平均资本成本:

相关内容:企业,债务,市场,价值,20万元,股权,30万元,成本,资本,所得税率

猜你喜欢

发表评论
更多 网友评论0 条评论)
暂无评论

访问排行

Copyright © 2012-2014 恰考网 Inc. 保留所有权利。 Powered by tikuer.com

页面耗时0.0491秒, 内存占用1.04 MB, Cache:redis,访问数据库14次