某生产车间为了提高产品的加工质量,决定推行统计过程控制。首先选择控制对象,再对选择的倒角半径采用均值一极差控制图进行分析,之后针对倒角半径的质量要求计算过...

作者: rantiku 人气: - 评论: 0
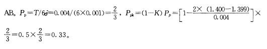
问题 某生产车间为了提高产品的加工质量,决定推行统计过程控制。首先选择控制对象,再对选择的倒角半径采用均值一极差控制图进行分析,之后针对倒角半径的质量要求计算过程能力和过程能力指数,最后求得过程性能指数Pp和Ppk。
选项
答案 AB
解析

猜你喜欢

发表评论
更多 网友评论0 条评论)
暂无评论

访问排行

Copyright © 2012-2014 恰考网 Inc. 保留所有权利。 Powered by tikuer.com

页面耗时0.0977秒, 内存占用1.03 MB, Cache:redis,访问数据库17次