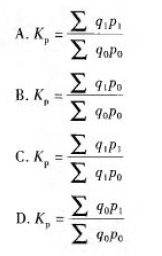
假设q1,pl 分别表示报告期的采购数量与价格,q0、p0 分别表示基期的采购数量与价格,则派氏综合指数为()。

作者: rantiku 人气: - 评论: 0
问题 假设q1,pl 分别表示报告期的采购数量与价格,q0、p0 分别表示基期的采购数量与价格,则派氏综合指数为()。
选项
答案 C
解析

猜你喜欢

发表评论
更多 网友评论0 条评论)
暂无评论

访问排行

Copyright © 2012-2014 恰考网 Inc. 保留所有权利。 Powered by tikuer.com

页面耗时0.0637秒, 内存占用1.03 MB, Cache:redis,访问数据库20次