某生产性建设项目,折算到第1年年末的投资额为6000万元,第2年年末的净现金流量为1300万元,自第3年年末开始均为1600万元,直至第10年寿命期结束,...

作者: tihaiku 人气: - 评论: 0
问题 某生产性建设项目,折算到第1年年末的投资额为6000万元,第2年年末的净现金流量为1300万元,自第3年年末开始均为1600万元,直至第10年寿命期结束,则该建设项目的静态投资回收期为()年。
选项 A.3.81 B.4.94 C.4.06 D.4.08
答案 B
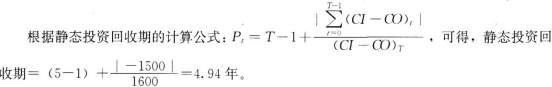
解析 本题考核的是静态投资回收期的计算。本题中累计净现金流量见下表:

相关内容:生产性,建设项目,投资额,6000万元,现金流量,1300万元,自第,1600万元,寿命

猜你喜欢

发表评论
更多 网友评论0 条评论)
暂无评论

访问排行

Copyright © 2012-2014 恰考网 Inc. 保留所有权利。 Powered by tikuer.com

页面耗时0.0420秒, 内存占用1.04 MB, Cache:redis,访问数据库19次