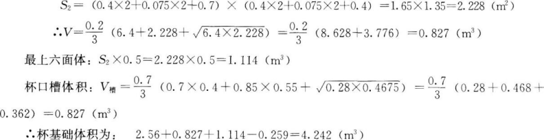
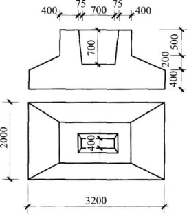
一现浇钢筋混凝土柱下杯基础(如图),柱断面400mm×700mm,则该基础的混凝土工程量为( )m3。 A.4.242 B.3.542 C.4....

作者: tihaiku 人气: - 评论: 0
问题 一现浇钢筋混凝土柱下杯基础(如图),柱断面400mm×700mm,则该基础的混凝土工程量为( )m3。
选项 A.4.242 B.3.542 C.4.278 D.4.351
答案 A
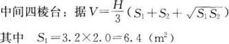
解析 现浇混凝土基础应以体积立方米计。计算该基础体积可看成由最下的六面体,加中间的实心四棱台,加最上的实心六面体,再减去杯口槽体积。最下六面体:3.2×2.0×0.4=2.56(m3) 新教材389-408

相关内容:一现,钢筋混凝土,柱下杯,基础,如图,断面,混凝土,工程量,A.4.242,B.3.542,C.4....

猜你喜欢

发表评论
更多 网友评论0 条评论)
暂无评论

访问排行

Copyright © 2012-2014 恰考网 Inc. 保留所有权利。 Powered by tikuer.com

页面耗时0.0461秒, 内存占用1.05 MB, Cache:redis,访问数据库18次