某分部工程双代号网络计划如下图所示,其中存在的绘图错误有( )。 A.循环回路 B.多个终点节点 C.多个起点节点 D.两项工作有相同的代...

作者: tihaiku 人气: - 评论: 0
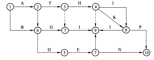
问题 某分部工程双代号网络计划如下图所示,其中存在的绘图错误有( )。
A.循环回路
B.多个终点节点 C.多个起点节点
D.两项工作有相同的代号 E.节点编号重复
选项
答案 BDE
解析

相关内容:分部,工程,代号,网络,计划,下图,绘图,错误,循环,回路,终点,节点,起点,工作

猜你喜欢

发表评论
更多 网友评论0 条评论)
暂无评论

访问排行

Copyright © 2012-2014 恰考网 Inc. 保留所有权利。 Powered by tikuer.com

页面耗时0.0343秒, 内存占用1.04 MB, Cache:redis,访问数据库17次