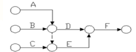
某工作间逻辑关系如下图,则正确的是( )。 A、A、B均完成后同时进行C、D B、A、B均完成后进行D C、A、B、C均完成后同时进行D、E ...

作者: tihaiku 人气: - 评论: 0
问题 某工作间逻辑关系如下图,则正确的是( )。
选项 A、A、B均完成后同时进行C、D B、A、B均完成后进行D C、A、B、C均完成后同时进行D、E D、B、C完成后进行E
答案 B
解析 【知识点】双代号网络计划。A、B均完成后进行D,所以选项A错误;A、B、C均完成后进行E,所以选项C、D错误。参见教材P129。

相关内容:工作间,逻辑,关系,下图,同时

猜你喜欢

发表评论
更多 网友评论0 条评论)
暂无评论

访问排行

Copyright © 2012-2014 恰考网 Inc. 保留所有权利。 Powered by tikuer.com

页面耗时0.0339秒, 内存占用1.05 MB, Cache:redis,访问数据库19次