根据双代号网络图绘图规则,下列网络图中的绘图错误有(  )处。 A.5 B.4 C.3 D.2

作者: tihaiku 人气: - 评论: 0
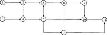
问题 根据双代号网络图绘图规则,下列网络图中的绘图错误有(  )处。
选项 A.5 B.4 C.3 D.2
答案 B
解析 考点:双代号网络计划的绘图规则。双代号网络计划的绘图规则:(1)双代号网络图必须正确表达已定的逻辑关系;(2)双代号网络图中,不允许出现循环回路;(3)双代号网络图中,在节点之间不能出现带双向箭头或无箭头的连线;(4)双代号网络图中,不能出现没有箭头节点或没有箭尾节点的箭线;(5)当双代号网络图的某些节点有多条外向箭线或多条内向箭线时,为使图形简洁,可使用母线法绘制;(6)绘制网络图时,箭线不宜交叉;(7)双代号网络图中应只有一个起点节点和一个终点节点,而其他所有节点均应是中间节点;(8)双代号网络图应条理清楚,布局合理。即错误包括:(1)有①、③两个开始节点;(2)⑤、⑥之间有双向箭头;(3)⑩、⑥之间的连线无箭头;(4)无终点节点。

相关内容:根据,代号,网络,绘图,规则,错误

猜你喜欢

发表评论
更多 网友评论0 条评论)
暂无评论

访问排行

Copyright © 2012-2014 恰考网 Inc. 保留所有权利。 Powered by tikuer.com

页面耗时0.0410秒, 内存占用1.05 MB, Cache:redis,访问数据库19次